Authors: Molly Rinkevich, PharmD, PGY2 EM Pharm Resident (Geisinger Wyoming Valley, Wilkes Barre, PA); Howard Rainey, DO (Geisinger Medical Center, Danville, PA); Drew Schmucker, PharmD (Geisinger Wyoming Valley, Wilkes Barre, PA); Lloyd Tannenbaum, MD (APD, Geisinger Wyoming Valley, Wilkes Barre, PA) // Reviewed by: Alex Koyfman, MD (@EMHighAK); Brit Long, MD (@long_brit)
Case:
It’s 3 am on a busy shift and EMS rolls in with a 67-year-old male coming in from home with a history of ischemic cardiomyopathy, HTN, HLD, DM and, 3 stents due to a STEMI with palpitations. His initial EKG is the following:

What do you think? Here’s our read:
Rate: 180ish beats per minute
Rhythm: no p waves, not sinus rhythm
Axis: Likely not clinically relevant at this time
Intervals: WIDE QRS complexes
Morphology: This is a wide complex tachycardia
Final Read: Wide complex tachycardia concerning for Ventricular Tachycardia (VTach)
Your attending is off the floor getting a midnight snack and it’s just you pondering what to do with this human. If the patient has a BP of 60/palp, it’s easy, right? BOOM! Synchronized cardiovert and move on with your day. But what if he has a normal blood pressure? Do we still shock? Are there any meds you can give? Should you?
Discussion
To be fair, that question has been the primary focus of multiple review studies and trials over the years. Let’s look at a few and make an informed decision. Today, we are going to look primarily at Lidocaine vs Amiodarone vs Procainamide for the termination of ventricular tachycardia.
Let’s just review the drugs quickly:
Amiodarone is an antiarrhythmic medication used to treat and prevent a number of types of cardiac dysrhythmias. This includes ventricular tachycardia, ventricular fibrillation, and wide complex tachycardia, atrial fibrillation, and paroxysmal supraventricular tachycardia. It is a class III antiarrhythmic medication and works partly by increasing the time before a heart cell can contract again. Side effects include HYPOTENSION and BRADYCARDIA.
Procainamide is a medication of the antiarrhythmic class used for the treatment of cardiac arrhythmias (Class 1a). It is a sodium channel blocker of cardiomyocytes. Side effects include HYPOTENSION and BRADYCARDIA (that sounds familiar…). Also avoid this medication with severe heart failure and patients with active cardiac ischemia.
Lidocaine is an antiarrhythmic medication of the class Ib type. This means it works by blocking sodium channels and thus decreasing the rate of contractions of the heart. Side effects include HYPOTENSION and BRADYCARDIA.
Ok, so now that we know what each drug is used for and what the side effects are, which one is the right choice? Let’s do a quick literature review to look at some famous (and not so famous) trials comparing these drugs head-to-head.
The most recent and well-known trial is the PROCAMIO trial (1). It was published in European Heart Journal in 2017. But before we dive into this one, where did the idea to give amiodarone to critically ill patients come from? Great question. One of the earliest studies we could find was a study from 1986 (2) that concluded that “Intravenous amiodarone can be used safely in critically ill patients with impaired left ventricular function to control life-threatening refractory cardiac arrhythmias.” Naturally you would assume that this was a large, multicenter trial, right? Wrong. This was based on 11, that’s not a typo, ELEVEN patients. And since none of them developed hypotension or bradydysrhythmias during amiodarone infusion (150 mg over 5 minutes, followed by 600 mg/24 hr for 3 to 4 days) Amiodarone was deemed safe for critically ill patients.
Ok, so what did the PROCAMIO trial find? Well, the trial was a multicenter prospective open label trial. Which means that the doctors weren’t blind to whether they were giving patients Amiodarone or Procainamide. Here’s the graph showing their results:

That’s right, of the 33 analyzed patients given procainamide, 22 (67%) of them converted out of a wide complex tachycardia compared with 11 out of the 29 in the amiodarone arm (38%). Keep in mind, however, that this was not their primary endpoint. What was? Major adverse cardiac events 40 minutes after giving the antiarrhythmic. The following table shows their results, take a look:

Note that procainamide leads with less adverse cardiac events. Now, what did the PROCAINAMIDE trial conclude? “Procainamide therapy was associated with less major cardiac adverse events and a higher proportion of tachycardia termination within 40 min.” So, we should always use procainamide, right? Well, let’s look at some other trials.
Drs. Long and Koyfman (3) wrote up an excellent review article looking at multiple trials trying to figure out what medication would be best (if any) for the treatment of stable monomorphic ventricular tachycardia. Take a look at this table from their paper and then we’ll walk through some of the studies together:

Briefly, looking at these trials on the chart, one big thing should jump out at you: NONE of them have a sample size over 100 patients. Now let’s walk through them quickly:
Ho et al (4) looked at termination of VT in 15 min or hemodynamic deterioration. Sotalol (a beta blocker) beat the heck out of lidocaine. Coolest part of this trial? Learning that we can be calling lidocaine Lignocaine from now on. Sotalol terminated 69% of arrhythmias compared to lidocaine’s 18% termination rate.
Gorgels et al (5) looked at procainamide vs lidocaine and again and primary outcome was VTach termination. Interestingly, not only did procainamide win by a LANDSLIDE, but the authors also used procainamide as a rescue drug when lidocaine wasn’t effective at terminating VTach 15 min after its infusion.
Manz et al (6) looked at ajmaline vs lidocaine for the termination of VT. Ok small side note, what is ajmaline? It’s a class 1a antiarrhythmic that’s more potent than procainamide. It’s actually often used as a “sodium channel blockade challenge” to confirm the diagnosis of Brugada Syndrome. If there’s two things to take away from this study, it’s that lidocaine did not perform well at terminating VT in this study and I learned that a new drug with an awesome name.
Marill et al (7) actually did a RETROSPECTIVE (they looked at patients who had already been treated and saw what happened, instead of the other trials that were PROSPECTIVE) study and interestingly found that amiodarone and procainamide were equally BAD at terminating VTach in the first 20 minutes after infusion. Now here’s the big kicker from this trial: 53% of patients getting amiodarone AND 42% of the patients getting procainamide developed HYPOTENSION and thus REQUIRED CARDIOVERSION. These authors question the efficacy of medical therapy for VTach.
Komura et al (8) looked at lidocaine vs procainamide, and again, the results are very similar. Lidocaine terminated VT 35% of the time while procainamide terminated it 75% of the time. Again, procainamide was used as a rescue if lidocaine was ineffective and converted an additional 4 patients out of VTach that lidocaine didn’t fix.
The last study in the table is actually the PROCAMIO trial (1), which we already talked about.
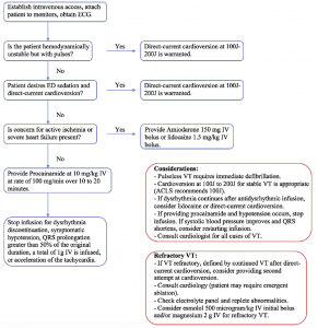
So what can we conclude from all of this? The article uses the following algorithm (3):

To make sure we weren’t missing anything, we asked some of our pharmacy friends to weigh in on medication choices for stable, monomorphic VTach.
PharmD Input:
Based on the literature review, procainamide has the most data for terminating VT in hemodynamically stable patients. The literature strongly supports procainamide as a first-line pharmacologic agent for terminating stable monomorphic ventricular tachycardia. Multiple studies, including Gorgels et al. and Komura et al., demonstrated procainamide’s superior efficacy, with termination rates ranging from 76-80% compared to lidocaine’s 18-35%. The PROCAMIO trial further validated these findings, showing procainamide’s lower rate of major adverse cardiac events and higher ventricular tachycardia conversion rates.
However, procainamide’s clinical utility is significantly limited by practical considerations. This is not a medication that should be ordered, started, and left unattended. No, someone needs to have eyes on vitals, cardiac function, and termination of the arrythmia to promptly stop the infusion if needed. Its narrow indication for stable VT means many emergency departments may not routinely stock the medication. Clinicians should avoid use in active ischemic heart disease and decompensated heart failure—which cause a considerable proportion of VT cases—further restricting its application. When preparing procainamide for infusion, careful dilution is required potentially causing a delay in patient care. While both procainamide and amiodarone share similar side effect profiles including hypotension and bradycardia, amiodarone offers broader applicability in patients with underlying cardiac conditions. Nevertheless, for carefully selected patients with stable monomorphic VT without active ischemia or decompensated heart failure, procainamide remains a viable pharmacological intervention.
If procainamide is utilized, a baseline EKG should be obtained to assess the QRS and QTc at baseline. Blood pressure should be monitored every 5 minutes during infusion. The infusion will be 20 to 50 mg/min up to 17 mg/kg (max recommended dose 1500 mg). When the patient converts to normal sinus rhythm the infusion should be stopped. Once the underlying cause of arrythmia is identified, guideline-directed medical therapy should be initiated. If hypotension occurs or the QRS increases by 50% of baseline the infusion should be stopped, and alternative treatment should be considered. For some of the reasons outlined above, clinician comfort is often with amiodarone.
Case Conclusion:
The patient was hemodynamically stable and consented to synchronized cardioversion. After a little bit of etomidate and a quick shock, the patient was back in normal sinus rhythm and cardiology was consulted for evaluation.
Wrap up:
- The data behind medications for stable VTach is not great.
- There is the best data supporting procainamide for terminating VT, assuming the patient doesn’t have active ischemia or severe heart failure.
- For procainamide, remember, if the dysrhythmia stops, stop the procainamide. Other reasons to stop include hypotension, QRS prolongation over 50% of the original duration, a total of 1g given or acceleration of the tachycardia.
- Remember, each institution is different and will have different opinions about what medication should be given to stable patients in Vtach. Involve your cardiology colleagues early and often with these patients and don’t be surprised if medical therapy doesn’t work or causes hypotension.
References:
- Ortiz M, Martín A, Arribas F, Coll-Vinent B, Del Arco C, Peinado R, Almendral J; PROCAMIO Study Investigators. Randomized comparison of intravenous procainamide vs. intravenous amiodarone for the acute treatment of tolerated wide QRS tachycardia: the PROCAMIO study. Eur Heart J. 2017 May 1;38(17):1329-1335. doi: 10.1093/eurheartj/ehw230. PMID: 27354046; PMCID: PMC5410924.
- Leak D. Intravenous amiodarone in the treatment of refractory life-threatening cardiac arrhythmias in the critically ill patients. Am Heart J 1986;111:456–462.
- Long B, Koyfman A. Best Clinical Practice: Emergency Medicine Management of Stable Monomorphic Ventricular Tachycardia. J Emerg Med. 2017 Apr;52(4):484-492. doi: 10.1016/j.jemermed.2016.09.010. Epub 2016 Oct 15. PMID: 27751700.
- Ho DSW, Zecchin RP, Richards DAB, et al. Double-blind trial of lignocaine versus sotalol for acute termination of spontaneous sustained ventricular tachycardia. Lancet 1994;344:18–23.
- Gorgels AP, van den Dool A, Hofs A, et al. Comparison of procainamide and lidocaine in terminating sustained monomorphic ventricular tachycardia. Am J Cardiol 1996;78:43–6.
- Manz M, Luderitz B. Emergency treatment of ventricular tachycardias: ajmaline and lidocaine compared. Dtsch Med Wochenschr 1988;113:1317–21.
- Marill KA, deSouza IS, Nishijima DK, et al. Amiodarone or procainamide for the termination of sustained stable ventricular tachycardia: an historical multicenter comparison. Acad Emerg Med 2010;17:297–306.
- Komura S, Chinushi M, Furushima H, et al. Efficacy of procainamide and lidocaine in terminating sustained monomorphic ventricular tachycardia. Circ J 2010;74:864–9.